When we talk about efficiency in Electrical parlays, the normal understanding for anyone would be that its ratio of useful energy (power output) to total energy or power input, measuring the effectiveness of conversion or transformation of energy from input to output.
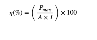
However, for solar panels, this definition gets a bit tweaked as the area of the solar panel also plays a role in defining its efficiency. Solar panel efficiency (n) is the percentage of solar energy (irradiance i.e. I typically 1000 W/m2) converted into electricity, calculated by dividing the Maximum Power output (Pmax) by the product of the panel's surface area (A)

Just for better understanding purpose let’s consider the solar panel with wattage of 420Wp having its physical dimensions as 2 m2 then the efficiency of solar panels would be
Efficiency = (420 W/ 2.0 m2 * 1000 W/m2 ) X 100 = 21% May
As we can understand clearly from the above example, efficiency would give you idea on how much area would be required to install rated power of solar system while actual generation (yield) won’t be dependent on efficiency. The actual generation for installed solar panel would depend on various factors, some of which are within control and few on nature, like natural Sunlight. We would delve more upon these factors in upcoming blog.
